UFO: Admiral Wilson, leaked document on Alien Reproduction Vehicles (ARVS) and the UFO cover up
- inquirewithinoffic
- Jun 18, 2019
- 2 min read
This document has been referred to as, "The Greatest UFO Document Leak Of Our Generation". Indeed it does live up to that name. This document is a 2002 meeting recap between Dr. Eric Davis and Head of Intelligence for the Joints Chiefs of staff/ Director of the Defense Intelligence Agency, Vice Admiral Thomas R. Wilson. Basically it was Admiral Wilson expressing his concern and frustration of not being granted the access that he legally had the rights to access; to what many have heard Dr. Steven Greer refer to as, USAPS or Unacknowledged Special Access Projects. These are black budget projects that are off the books and don’t have any legal oversight from the normal chain of command. Many USAPs are run by private companies and involve Reverse Engineered Extraterrestrial technology (Alien Reproduction Vehicles 'ARVs'). UFO crash retrieval is one way these crafts are reverse engineered and there are many unfortunate ways these crafts can be caused to crash.
In the documents Admiral Wilson refers to a dark side of reality that many of us already know to be real, a Cabal that controls who knows what whether that be information in the government or in the public domain. This is something that Dr. Steven Greer has pointed out time and time again that many Presidents, Congress members and Senior Pentagon officials are not given access to this information. Research the Majestic 12 (MJ-12) to go deeper into that rabbit hole.
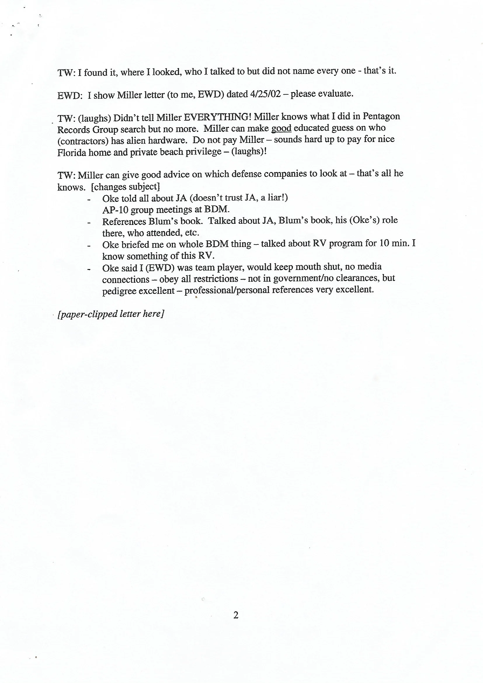
Here are some key excerpts from the documents:
-“it was technology that was not of this Earth- not made by man – not by human hands.”
-“Miller/ Wilson talked (privately) 2 hours on UFOs, MJ-12, Roswell, crashed UFOs/ alien bodies, etc.”
-“The name and last location of a senior officer who I believe had first-hand knowledge U.S. government alien reproduction vehicles (ARVs) at Area-51 and associated locations.”
-“UFOs are real, so-called ‘alien abductions’ not real”
This article/ video alone do not give justice to how important of a leak this is, a full in-depth analysis of this can be found at Richard Dolan's website: https://richarddolanmembers.com/articles/the-wilson-leak-latest-developments/
Also a very powerful inside look at this and its implications has been given in Jimmy Church's interviews with; Dr. Steven Greer and Grant Cameron:
DR. STEVEN GREER:
GRANT CAMERON:

















Comments